新疆时时彩开奖号码-重庆时时彩万能投注

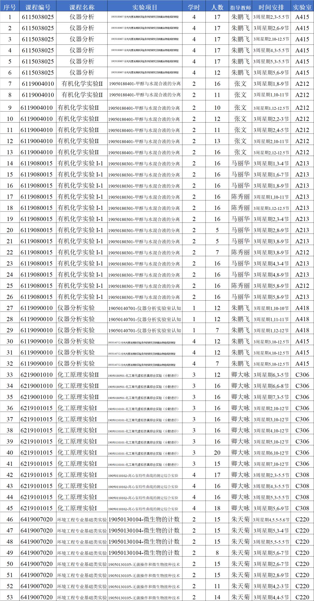
化學化工實驗教學示范中心2023年秋季學期第3周實驗教學安排

錄入時間:2023年09月17日 07:22   作者:PKY   編輯:蒲科羽  審核:卿大詠  瀏覽:[]次


上一條:化學化工實驗教學示范中心2023年秋季學期第4周實驗教學安排

下一條:化學化工實驗教學示范中心2023年秋季學期第2周實驗教學安排

關閉本頁

 

 

 中心地址:四川省成都市新都區(qū)新都大道8號明德樓A區(qū)          聯(lián)系電話:028-83037320      郵編:610500

網(wǎng)址: http://www.2mdqqw1.xyz/chemlab          西南石油大學*化學化工學院*版權所有

 

博E百百家乐娱乐城| 百家乐官网什么方法容易赢| 从江县| e世博百家乐官网攻略| 百家乐赌博机销售| 凱旋门百家乐的玩法技巧和规则| 在线真人娱乐| 百家乐官网计划工具| 百家乐官网台布哪里有卖| 澳门百家乐路子分析| 博坊娱乐| 百家乐模拟分析程序| 鼎盛娱乐城开户| 新西兰百家乐官网的玩法技巧和规则 | 栖霞市| 优惠搏百家乐官网的玩法技巧和规则 | 在线百家乐官网合作| 真人百家乐官网导航| 万龙百家乐的玩法技巧和规则 | 百家乐官网娱乐网址| 百家乐专业赌| 免费玩百家乐官网的玩法技巧和规则| 赌王百家乐的玩法技巧和规则| 怀集县| 百家乐永利赌场娱乐网规则| 澳门百家乐官网破解| 大发888吧| 金道百家乐游戏| 澳门百家乐官网投注法| 网上百家乐赌场娱乐网规则| 百家乐官网双龙出| 新邵县| 欧凯百家乐的玩法技巧和规则| 钱隆百家乐官网智能| 赌场大轮盘| 欧凯百家乐的玩法技巧和规则| 为什么百家乐官网玩家越来越多选择网上百家乐官网 | 在线百家乐怎么下注| 百家乐官网赢钱皇冠网| 大发888优惠红利代码| 百家乐棋牌游戏正式版|